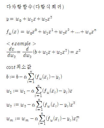
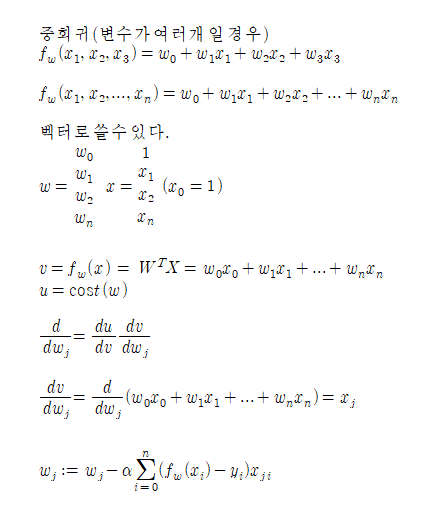
1. Regression ( 수치예측)
- error값의 최소값을 찾아 최적의 기울기를 찾음.


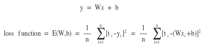
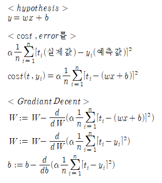
평가기준(error=loss=cost 동일 기준 개념(전부 낮아야 함))
y: 실제값, ^y:예측값
cost(loss)손실값 : (y-^y)^2
MSE : mean(y-^y)^2





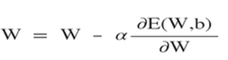
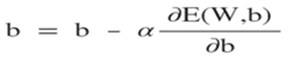
learning rate(stepsize) 는 w값이 크면 발산할 수 있으므로 조금씩 W값을 이동 시키는 상수
학습원리
gradient decent : w = w-@미분(w)
출처
blog.naver.com/PostView.nhn?blogId=beyondlegend&logNo=221346376413
머신러닝 경사하강법 (Gradient Decent Algorithm)
선형회귀(Regression)에서 가중치 W, 바이어스 b 를 찾는 알고리즘인 경사하강법(Gradient Decent Alg...
blog.naver.com
<정리>



local minimum일 때 Mini-batch 법 사용(랜덤한 값의 집합을 사용하여 최소값을 찾음)

K를 집합으로 만들고 랜덤한 값을 잡아서 찾는다.
K={10, 21, 38, 45, 52}

'인공지능(AI)' 카테고리의 다른 글
| Supervised - Logistic Regression - Cross Entropy Error (CEE) (0) | 2020.10.19 |
|---|---|
| Supervised - Logistic Regression(확률적 회귀) (0) | 2020.10.19 |
| Model Validation (0) | 2020.10.15 |
| AI(Artificial Intellligence) 인공지능 (0) | 2020.10.14 |
| google colab 개발 프로그램 (0) | 2020.10.12 |