딥러닝 모델은 연속적인 데이터가 아닌 현재의 snap shot만을 분석
- 데이터의 순서에 따른 정보를 효과적으로 분석 못함
RNN은 기존 딥러닝 모델에 시간적인 측면을 가미 ( 데이터 순서에 따른 영향도 효과적으로 분석)
RNN은 연속적인 데이터를 분석하느데 최적화 된 모델
사용예) 자연어 처리, 문장 처리 주가, 부동산 데이터 처리 이전과거데이터가 지속적으로 있는경우
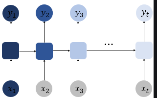
RNN특징
RNN은 다른 모델과 다르게 은닉층의 출력이 같은 은닉층의 입력으로 들어감
순환되는 RNN 구조를 시간 순서대로 펼친 구조
A(hidden layer)는 동일하며 시간에 따라 새로운input과 output이 생성

RNN을 이용한 모델링 유형
기본구조를 변형하여 다양한 유형의 문제에 적용
one to many -사진->단어들
many to one 단어들->감성점수
many to many 단어들->단어들

RNN 문제
장기 의존성 : 입력 데이터의 시퀀스가 길어질 경우 학습 정보가 시퀀스를 지나감에 따라 희미해짐

해결방안
LSTM(long short term memory) : 장기기억을 위한 Cell st
과거 특정 정보를 유지해서 올라감
중요한 정보는 1, 중요하지 않은 것은 0

출처 : egloos.zum.com/dreamtamer/v/7312336
LSTM이해하기
Recurrent Neural Networks. RNN은 기존의 Neural Network와는 다르게 loop가 있다. 위와같이 input 값 Xt 가 있고, output값 ht가 있다. 루프는 한쪽의 노드에서 다음노드로 정보를 보낸다. 루프를돌면서 결과값이
egloos.zum.com


[논문리뷰] RNN :: LSTM(Long Short Term Memory) 톺아보기
이 블로그 글은 딥러닝 공부를 목적으로, 최성준 박사님 강의와 여러 자료들을 참고하여 LSTM의 개념에 대해 정리하였습니다. 기존의 인공 신경망의 은닉층에는 맥락이 고려되지 않은 단순
wegonnamakeit.tistory.com
RNN 응용
실제 인물의 음성을 생성 - 글과 목소리를 합성해서 만듬
'인공지능(AI)' 카테고리의 다른 글
| output layer - softmax() (0) | 2020.11.04 |
|---|---|
| 강화학습, GAN (0) | 2020.11.03 |
| Deep Learning (딥러닝) (0) | 2020.11.03 |
| classifier model- 앙상블 (0) | 2020.11.03 |
| Supervised - Softmax Regression (0) | 2020.10.21 |