훈련데이터 더모음
네트워크 용량 감소 (unit(퍼셉트론) 수 조절)
가중치 규제 (L1, L2)
드롭아웃 추가
Dropout : 가중치가 적은 불필요한 퍼셉트론은 사용하지 않게 제한들 두는 옵션

regularization : 정규화이지만 보통 일반화라고 볼 수 있다. 모델 복잡도에 대해 정규화는 overfitting을 방지하고 Generalization(일반화) 성능을 높이는 데 도움을 준다. (방법 : L1, L2, Dropout, Early stooping 등이 있음)


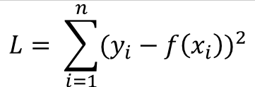
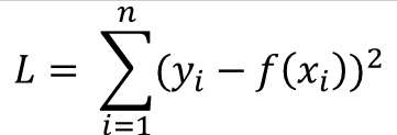
regularizer L1 : 실제값과 예측값을 뺀 loss가 음수가 나올 수 있다. 이를 보완하기 위해 절대값을 사용함

regularizer L2 : 또 다른 방법은 실제값과 예측값을 뺀값을 제곱을 하면 음수를 보완할 수 있다.

L1과 L2의 차이점
L2 의 loss는 오차의 제곱을 하므로 loss률이 더 크게 영향을 받는다. 오히려 L1에 비해 상대적으로 더 민감하게 반응한다.
스타트업 경우
이미 만들어진 모델(w,b)가 최적화되 모델을 먼저 구하고 그모델에 나의 데이터를 넣어서 검증해봄
어느정도 나오면 튜닝 변수 몇개가 공개되어 있어 또 그것으로 수정
예측, 분류하는 정제 할 수있음.
한계가 오면, 다른 모델을 찾아서 검증하고 찾음
'인공지능(AI)' 카테고리의 다른 글
| 노트북에 tensorflow with keras 설치 (0) | 2020.12.05 |
|---|---|
| CNN (0) | 2020.11.06 |
| overfitting (0) | 2020.11.06 |
| 성능지표 (0) | 2020.11.05 |
| keras (0) | 2020.11.05 |